VCE高数 | 如何利用暑假有效预习12年级内容,从而实现弯道超车?
今天我们主要来讲一下如何充分利用假期对VCE高数12年级的内容进行有效地预习
想要实现弯道超车,就要知道VCE高数12年级的教材要学些什么内容,明确学习重点,做好归类,老师已经贴心的帮大家整理好了关于VCE高数12年级的详细内容,大家继续往向下看吧~
一、VCE高数的分类
下面以VCE高数的Study Design和12年级Textbook的目录进行对应,来分出六大类别:
•Area 1——Function and graphs
1A,1E,1H,第3章,12A和12B
•Area 2——Algebra
主要以第4章complex numbers为主 再加上一些rational number上的计算
•Area 3——Calculus
第6,7,8,9这四章为主,再参杂一些12C和12D的内容
•Area 4——Vectors
第2章
•Area 5——Mechanics
第10和14章
•Area 6——Probability and statistics
第15和16章
此外还有一些其他几何上的知识如1C,1F和1G
根据上述分类我们可以清楚地看出VCE高数12年级的重中之重落在了Calculus上,其中第6章和第9章都细分了9项(a-i),第7章也分了8项(a-h)



这几部分也是VCE高数SM中卷1和卷2占比最多的部分
那么如何对难度最大且分值最多的四章内容进行有效预习呢?
二、VCE高数Calculus内容分析
我们可以把Calculus再次进行分类:Differentiation和Integration
首先6A为这四章的最最最基本,也是最重要的部分,后面的内容学的好坏和做题正确率,速度,都很大程度取决于6A掌握的是否扎实。
•那么6A到底包括些什么呢?
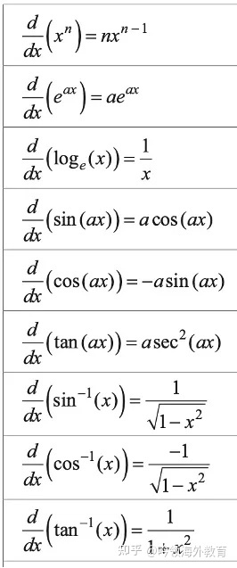
一些求导的基本公式和加减乘除的四项基本运算逻辑,以及最重要的Chain Rule求导规则


特别是Product rule和Chain Rule套在一起的时候,如 y=ln(x)* sin(2x)和2次及以上Chain Rule运算,如y=cos3(4x)。这种题目需要不断加强练习,在给Differentiation打下基础的同时也提升自己计算的准确度和速度。
那么同理,7A就是Integration这部分最基础和最重要的知识了,7A的学习进度很大程度上取决于6A学的怎么样,因为Integration可以看作是Differentiation的逆运算

对于以上这些公式,同学们最好还是能够熟练地背下来,虽然会出现在Formula Sheet里面,但是考试的时候可没有那么多时间让你去现场查找哦。
三、VCE高数其他章节内容分析
在6A和7A预习完之后,同学们就可以按顺序依次预习它们后面的小章节,由于这四章内容具有强的连续性,且每一个小章节都环环相扣,建议同学们如果前面的部分基础不是很牢固的话,一定要多刷几遍,保证那些公式和法则能够运用熟练,才能更好理解后面比较综合的知识。
到了第8章和第9章的时候,难度又上了一层。其中第8章融入了几何以及图像的内容,第9章更是对6和7两章的综合运用。如果同学们能把这四章的内容提前预习完,那么你就会对VCE高数12年级课程中最重要的部分掌握的游刃有余啦~
此外,在学习新知识的同时,我们还要重点关注做题的速度和准确率。
这些可没有什么捷径,同学们要坚持多做题多练习,熟能生巧,做题的速度和准确率自然而然就会上去啦
今天的分享就到这里啦!
希望对大家的VCE高数暑期复习计划有所帮助!
如果有任何问题,欢迎联系我们
希望以上介绍能对您有所帮助!我们还为学生写过很多VCE EAL干货文,欢迎关注️祝您学业顺利!
END
添加龙老师
预约私人定制VCE数学在线试听
获取私人定制学习计划

